Оптическое детектирование ультразвука
Оглавление
Оглавление {Error calculating value!: Bookmark "_Toc202286389" was not found in this document.}
1. Введение 2
2. Оптическое детектирование ультразвука (Обзор) 3
3. Лазерные интерферометры для измерения ультразвуковых колебаний 6
4. Оптическая характеристика поверхности колебания 15
4.1. Детектор ультразвука на основе интерферометра Майкельсона 18
4.2. Гомодинное детектирование 21
4.3. Применение спекл-интерферометрии для регистрации акустического сигнала 23
5. Сканирование лазерным гетеродинным интерферометром 32
5.1. Производительность установки 35
5.2. Минимально обнаруживаемая амплитуда 36
5.3. Латеральное разрешение 37
5.4. Невосприимчивость к изменениям в оптической отражательной способности 38
6. Энернетический расчет 39
7. Техника безопасности при работе оператора с оборудованием 43
8. Заключение 50
9. Список литературы 51
1. Введение
Методы регистрация ультразвуковых импульсов методами, в основе которых лежит пьезоэлектрический эффект, обладают рядом технических аспектов, которые ограничивают сферу их применения. Помимо этого, существует необходимость проектировать пьезоэлектрические датчики под конкретные задачи. Например, для достижения высокого разрешения порой необходимо расширить ширину полосы принимаемых частот. Ввиду вышеперечисленного, актуальность разработки альтернативных средств регистрации ультразвука очевидна.
Существует ряд публикаций, посвященных интерферометрическим средствам регистрации ультразвука. В частности, в них рассматриваются средства для измерения случайных деформаций изучаемого объекта и для регистрации поверхностных акустических волн. Данные средства предназначены для регистрации ультразвуковых волн в твердых телах. Насколько известно автору, исследования по применению интерферометрических средств для регистрации ультразвука в биоткани находятся на раннем этапе.
Разрабатываемая в данном дипломном проекте система спекл-интерферометрической регистрации ультразвуковых эхоимпульсов предназначена для фотоакустических исследований. Требуется достичь пространственного разрешения 10 мкм с минимальной амплитудой колебания поверхности 1 нм.
Целью данного дипломного проекта является составление облика предполагаемого устройства, что включает в себя детальный анализ существующих систем, выбор и обоснование принципа работы и функциональной схемы на основании проведенного анализа, энергетический расчет и оценка возможности создания прототипа.
2. Оптическое детектирование ультразвука (Обзор)
Постоянное развитие устройств мобильной электроники и телекоммуникационных приложений создало спрос на более лучшие электрические компоненты [1]. Высокопроизводительные радиочастотные и СВЧ фильтры являются ключевыми для беспроводной передачи и приема сигналов в устройствах мобильной связи. Чтобы удовлетворять жестким техническим спецификациям, фильтрация электрических сигналов осуществляется посредством электроакустических средств, где электрический сигнал преобразуется в механический и обратно, например, с помощью пьезоэлектрического эффекта. В настоящее время мобильные устройства связи используют фильтры, основанные как на поверхностных акустических волнах, так и на объемных акустических волновых технологиях. В то же время с требованиями по увеличению производительности, рабочие частоты повышаются, соответственно. Таким образом, пределы производительности ПАВ и ОАВ технологий постоянно отодвигаются еще дальше, в условиях низкой потери, улучшенной допустимой мощности, меньшего размера, более системной интеграции, подавления нелинейных эффектов и функциональности.
Акустические волны возмущения упругой среды вызывают смещения малых объемов вещества из их положения равновесия. Волны распространяются в среде с характерной скоростью и могут перемещаться при помощи энергии, локализованной вблизи поверхности (ПАВ) или внутри объема среды (ОАВ). Упругие волны могут также перемещаться в направлении их распространения продольных волн или в направлении, перпендикулярном направлению распространения (сдвига или поперечных волн), или представлять собой комбинацию из двух, как это характерно для распространения в анизотропных твердых телах. Лорд Рэлей обнаружил решение волнового уравнения, описывающего волны с их энергией, локализованной на поверхности, в 1885 году, предсказывая существование ПАВ.
Жак и Пьер Кюри открыли пьезоэлектрический эффект в 1880 году, и проводили последующее исследование на пьезоэлектрических материалах, в которых деформация создает электрическое поле в материале, и где электрические полевые результаты в деформации материала, включая генерирование и прием акустических волн (ПАВ и ОАВ) для практического использования. Способность эффективно преобразовывать радиочастотный электрический сигнал в ПАВ, отображена Уайтом и Вольтмером в 1965 году. Эта конструкция встречно-гребенчатого преобразователя (IDT), наряду с пьезоэлектрическими материалами, позволила промышленно использовать акустические волны в обработке сигналов.
Производительность электроакустической обработки сигналов и фильтрации устройств, в конечном счете, определяется их электрической реакцией. Таким образом, они, как правило, характеризуются с помощью электрических измерений, в тестовых структурах и конфигурациях фактических устройств. Исследование и разработка электроакустических устройств, действительно, существенно внесли пользу в достижениях в электрической технологии измерения, например, в современных векторных анализаторах цепей. Работа электроакустического устройства, однако, основана на электромеханической реакции, и поэтому даже тщательные электрические характеристики обеспечивают только косвенную информацию о движении волны и физике базового устройства. В случае несоответствия между разработанной и фактической реакции, электрическая характеристика часто оставляет открытыми вопросы о деталях механического поведения. Для лучшего понимания движения волн в анизотропных материалах и сложных микро - и наноструктурах, необходима прямая информация из области вибрации. Эти данные несут важную информацию для дальнейшего развития теоретического понимания волновых явлений, а также важную информацию для улучшения конструкций устройств.
Для удовлетворения потребности в характеристике поверхностных колебаний были разработаны различные методы, такие как контактные и бесконтактные. Оптические методы зондирования позволяют напрямую проводить бесконтактное измерение вибрационных полей на образце. Особенно со сложными структурами, такими, как многослойные устройства или фононные кристаллы, оптическое зондирование может внести существенный вклад в понимание физики устройства, обеспечивая обратную связь для развития моделирования устройства. Для достижения наилучших результатов, оптическое зондирование должно сочетаться с электрическими измерениями, чтобы приобрести наиболее полную картину о поведении устройства.
3. Лазерные интерферометры для измерения ультразвуковых колебаний
Необходимость проведения высокоточных абсолютных измерений колебаний поверхности оставляет актуальной проблему совершенствования оптических, и в частности лазерных, методов измерения [10]. Известно, что порог чувствительности и погрешность интерференционных лазерных устройств определяются нестабильностью частоты и мощности лазерного излучения, шумом регистрирующей аппаратуры и вредными акустическими вибрациями.
Описаны методы и средства снижения отрицательного влияния мешающих факторов на результаты измерений. Наиболее эффективными и простыми в реализации оказались следующие методы:
а) выравнивание плеч интерферометра для снижения частотных шумов лазера;
б) компенсационный прием для уменьшения влияния кратковременных (характерный период менее 1 мин) флуктуаций мощности лазерного излучения; в) отрицательная обратная связь для стабилизации базы интерферометра.
В комплексе эти методы позволяют снизить порог чувствительности до ~3*10-14 м/Гц1/2 (теоретический порог чувствительности, определяемый дробовыми шумами фотоприемника, составляет 1,6*10-14 м/Гц1/2) и уменьшить погрешности измерений до единиц процентов. Дальнейшее улучшение метрологических характеристик сдерживается влиянием долговременной нестабильности мощности излучения современных лазеров, достигающей 10 % и более. Методы стабилизации мощности лазерного излучения сложны, кроме того, они приводят к снижению интенсивности светового потока и как следствие к уменьшению чувствительности.
В диапазоне частот выше 20 кГц нестабильность, с одной стороны, приводит к нестабильности чувствительности интерферометра, а с другой (при включенной системе стабилизации базы) - к «уходу» интерферометра с рабочей точки и возникновению систематических погрешностей при измерении смещений поверхности.
Рассмотрим два способа измерения колебаний поверхности, позволяющие обойти описанные трудности. Оба способа основаны на постоянном контроле фактических изменений интенсивности излучения и позволяют проводить прецизионные измерения при использовании стандартных лазеров типа ЛГ-122 или ЛГ-79.
При реализации первого способа в качестве опорного сигнала используется уровень интенсивности оптического излучения источника. Интерферометр (рис. 1) содержит лазер 1 в качестве источника излучения, светоделитель 3, отражающие зеркала измерительного плеча 2 и опорного плеча 4. Часть излучения лазера 1 посредством светоделительной пластины 5 отводится на фотоприемник 6, который вырабатывает электрический сигнал, пропорциональный интенсивности излучения лазера, подаваемый далее на один из входов дифференциального усилителя 10. При этом сигнал с дополнительного фотоприемника 6 не зависит от оптической фазы интерферометра. На второй вход усилителя 10 подается сигнал с фотоприемника 9, величина которого пропорциональна интенсивности интерферирующих лучей в отраженном свете. При этом изменение оптической фазы интерферометра (относительные перемещения поверхности образца 2 и опорного зеркала 4) вследствие действия акустических шумов приводит к изменению сигнала фотоприемника 9 на величину, пропорциональную расстройке оптической фазы интерферометра, что приводит к появлению сигнала, поступающего на исполнительный элемент 11 (пьезопривод) и компенсирующего акустические шумы. Часть интерферирующего излучения отводится светоделительной пластиной 7 на фотоприемник 8, сигнал которого фиксируется блоком регистрации 15.
Рис. 1. Блок-схема лазерных измерителей колебаний: а - первый способ;
b - второй способ
Полезный сигнал и сигнал «акустического шума», как отмечено выше, разделены по частотам, причем цепь обратной связи (фотоприемник 9, усилитель 10, пьезопривод 11) работает в области частот ниже fгр =1 кГц. Изменение интенсивности излучения лазера 1 приводит к одновременному и синфазному изменению сигналов с фотоприемников 6 и 9. Вследствие большого подавления синфазных сигналов дифференциальным усилителем 10 сигнал на исполнительном элементе 11 не изменяется. При этом изменение интенсивности излучения лазера 1 не приводит к изменению оптической фазы интерферометра.
По второму способу в процессе измерений производится периодический контроль размаха интерференционной картины и подстройка рабочей точки интерферометра. В этом варианте для повышения точности измерения используется принцип модуляции интерференционной картины.
Установка работает следующим образом. Расширенный до необходимого диаметра луч лазера 1 направляется на светоделитель 3, где расщепляется на два луча, один из которых отражается от объекта 2, а другой - от зеркал 4 и 4'. Луч, отраженный от зеркала 4', и луч, отраженный от поверхности объекта 2, образуют первую интерференционную картину, которая проецируется на фотоприемник 8. Другой луч, отраженный от зеркала 4 и поверхности объекта 2, образует вторую интерференционную картину, которая проецируется на фотоприемник 9, подключенный к системе отрицательной обратной связи 13, выполненной в виде экстремального регулятора. При подаче на пьезопривод 11 синусоидального напряжения от генератора 16 частотой со0 происходит модуляция интенсивности второй интерференционной картины и на выходе фотоприемника 9 вырабатывается синусоидальный электрический сигнал, частота и фаза которого зависят от фазы интерференционной картины. Если фаза интерференционной картины равна 2m ,то частота электрического сигнала фотоприемника 9 равна2ш0. Если фаза интерференционной картины не равна 2m, то в сигнале присутствует составляющая с частотой 0.
Фаза этой составляющей относительно фазы опорной частоты генератора 16 определяется знаком отклонения фазы интерференционной картины от точки о = 2 m. Система отрицательной обратной связи 13 выделяет из сигнала фотоприемника 9 сигнал с частотой 0, сравнивает фазу этого сигнала с фазой опорного сигнала и вырабатывает управляющий сигнал, который поступает на пьезопривод 11 для подстройки фазы в точке 0 = 2 m. Информативным каналом в обоих устройствах является цепь - фотоприемник 8, блок регистрации 15. Таким образом, происходит жесткая стабилизация фазы второй интерференционной картины независимо от мощности I лазерного излучения на входе в интерферометр. Фаза первой интерференционной картины жестко связана с фазой второй картины, но может плавно регулироваться относительно нее регулируемым напряжением источника 14. Перед проведением измерений смещений поверхности образца 2 посредством пьезопривода 12 проводится определение размаха интерференционной картины и затем с помощью пьезопривода 12' и источника 14 настройка измерительного канала на рабочую точку.
На модулятор 2 с блока питания 4 подается пилообразное напряжение амплитудой до 400 В. В качестве генератора 7 используется, либо генератор прямоугольных импульсов, собранный на длинных линиях, либо генератор радиоимпульсов. Блок возбуждения (преобразователь 6, генератор 7) позволяет генерировать УЗ-импульсы в диапазоне частот 0,1-20 МГц (диапазон длительностей 100 нс - 10 мкс) амплитудой до 5 * 10-8 м [1]. Сигнал с интерферометра 3 поступает в блок регистрации 8.
Рис. 2. Блок-схема экспериментальной установки
Экспериментальные исследования параметров интерферометров показаны на установке (рис. 2). Излучение Не-Nе-лазера 1 через электрооптический модулятор 2 поступает в интерферометр 3, одним из зеркал которого является поверхность образца 5. Ультразвуковые колебания в образце 5 возбуждаются емкостным преобразователем или пьезопреобразователем 6, электрически связанным с генератором 7.
На модулятор 2 с блока питания 4 подается пилообразное напряжение амплитудой до 400 В. В качестве генератора 7 используется либо генератор прямоугольных импульсов, собранный на длинных линиях, либо генератор радиоимпульсов. Блок возбуждения (преобразователь 6, генератор 7) позволяет генерировать УЗ-импульсы в диапазоне частот 0,1-20 МГц (диапазон длительностей 100 нс - 10 мкс) амплитудой до 5 * 10-8 м [1]. Сигнал с интерферометра 3 поступает в блок регистрации 8.
Работа блока регистрации основана на запоминании мгновенных значений амплитуды ультразвукового импульса и опорного сигнала с последующим вычислением по методу двойного интегрирования их отношения. Суть метода двойного интегрирования заключается в определении отношения двух напряжений (С/изм /Uon) по отношению числа тактов интегрирования опорного канала к числу тактов интегрирования измерительного канала (Non/NmM). Причем Non определяется по моменту обнуления сигнала сумматора блока 8. В качестве опорного сигнала выбирается амплитуда возбуждающего электрического импульса генератора 7.
Исследуемый и опорный (через аттенюатор 18) сигналы подаются на входы 1,2 устройств выборки-хранения (УВХ) 13, 14 соответственно. УВХ устанавливают на своих выходах напряжения, равные мгновенным значениям входных напряжений в моменты прихода запускающих импульсов с одновибраторов 11, 12. Запуск одновибраторов задерживается относительно входного синхроимпульса (СИ), поступающего с генератора 7 на регулируемые ключами 9,10 времена т, и т 2. Сигналы с выхода УВХ поступают на вход усилителя 15, работающего по методу двойного интегрирования. Результаты измерения отношений отображаются на цифровом индикаторе 16.
Схема совпадения 19 вырабатывает метки времени, обеспечивающие необходимые задержки выборок относительно синхроимпульсов. Наблюдение переотраженных в образце ультразвуковых импульсов и меток времени осуществляется осциллографом 17. Чувствительность схемы к относительным изменениям сигналов на входах 1 или 2 не хуже 0,01 дБ. Перед началом экспериментов аттенюатор 18 настраивался таким образом, чтобы отношение сигналов при проведении измерений по второму способу при I0 =0и uo=1*10-10 м составляло 1,00 ± 0,01 (при этом амплитуда опорного сигнала принята равной А0). В дальнейшем эксперименты для первого способа проводились при неизменной настройке аттенюатора и тех же значениях амплитуды генератора 7. За меру качества работы интерферометра принято отношение амплитуды преобразованного сигнала к амплитуде входного сигнала А0.
Характерные осциллограммы переотраженных ультразвуковых импульсов показаны на (рис.3).
Рис. 3. Осциллограммы переотраженных ультразвуковых импульсов: а-режим видеоимпульса; b - режим радиоимпульса
4. Оптическая характеристика поверхности
колебания
После изобретения лазера в 1960-е годы, оптическое зондирование поверхностных колебаний нашло широкое распространение в качестве исследовательского инструмента для углубления понимания физики волн в различных материалов, в комбинациях материалов и в различных конфигурациях устройств [1]. Три основных принципа работы ранних инструментов были основаны на технике дифракционной решетке, техники опорной призмы и различных форм интерферометрии. Дифракционные решетки и методы опорной призмы хорошо подходят для измерения ПАВ, так как они зависят от формирования рельефа поверхности решетки и наклона поверхности, соответственно. Техника дифракционной решетки была популярным подходом в 1970-х годах, но не используется широко в последнее время. Техника опорной призмы также успешно применяется многими авторами для исследования распространения волн, например, чтобы отделить распространяющиеся и стоячие волны, чтобы измерить ПАВ скорости, затухание, управление лучом и дифракции.
Когда поверхность имеет пространственно гладкие волновые поля, такие как в некоторых приложениях ОАВ, оптическая интерферометрия имеет преимущества перед вышеуказанными методами, так как она позволяет проводить прямое измерение смещения поверхности. Интерферометры завоевали популярность в качестве оптического обнаружения.
В дополнение к методам измерений, попадающих в эти основные категории, научно-исследовательские приборы детектирования, основанные на изменении какого-либо другого оптического количества, вызваны распространением акустической волны в материале. Эти приборы могут работать в режиме отражения, например, типичные лазерные интерферометры, или, например, путем пропускания света через материал. Одним из примеров последнего является оптический датчик, в котором поляризация лазерного луча, проходящего через объем материала, упруго модулируется волной в среде. Также существует широкий класс приборов, использующих явления лазерного спекла для измерения вибрации. Голографические подходы были также использованы в измерениях вибрации с конца 1960-х годов.
Было проведено несколько попыток охарактеризовать колебания различными другими способами. Одним из примеров является использование атомно-силовой микроскопии (АСМ), чтобы охарактеризовать поверхности вибрации. Этот пример не может рассматриваться как бесконтактный метод, так как это может существенно влиять на исследуемый образец, хотя методы были разработаны, чтобы свести эффект к минимуму.
В самом деле, многие из имеющихся методов микроскопии, таких как сканирование электронной микроскопии (SEM),были адаптированы для изучения поверхности и вибрации. В дополнение к различным методам сканирования зондовой микроскопии, были попытки визуализировать поверхности вибрации также с несколькими другими, более экзотическими методами, неразрушающиеся или бесконтактные.
В дополнение к методам лазерной интерферометрии с частотной областью
обнаружения, существуют методы пробной временной области оптических лазеров на основе исследования распространения акустических волн, тонкопленочных свойств материалов и поверхностных колебаний. Это пикосекундные ультразвуковые методы пробного использования возбуждение упругих волн оптического импульса накачки и последующего обнаружения волн пучком оптического зонда с выдержкой времени. Техника хорошо подходит для характеристики акустических свойств массы, а также из тонкопленочных образцов, таких как те, которые используются в акустических зеркалах, установленных в ОАВ устройствах.
Вместо того чтобы проводить измерения в одной точке, образец может быть отсканирован, чтобы получить двумерные изображения распространения волн. Приборы в последнее время также применяются для изучения взаимодействия волн с образцами фононных кристаллов.
4.1. Детектор ультразвука на основе интерферометра Майкельсона
В физической акустики важно иметь возможность обнаружить и характеризовать малые колебания поверхности [1]. Амплитуды вибрации значительно варьируются в зависимости от типа устройства и приложения, но в случае ПАВ и в исследованиях ОАВ для ультразвуковых приложений типичны максимальные амплитуды порядка нескольких нанометров или меньше. Поэтому, для того, чтобы обеспечить хорошее соотношение сигнал шума (SNR) и иметь возможность изучать слабые эффекты, минимальная амплитуда вибрации должна быть порядка 1 пикометра или менее, что примерно равно 1 / 100 размера атома. Кроме того, рабочие частоты в диапазоне от МГц до нескольких ГГц, должны иметь плоскую частотную характеристику, чтобы позволить провести количественный анализ вибрации.
Лазерная интерферометрия является бесконтактным оптическим методом, который может быть использован для обнаружения таких вибраций. В концептуальном простом случае, гомодинный интерферометр Майкельсона содержит сигнальное и опорное плечи. Образец с вибрирующей поверхностью помещают в измерительный канал. Поверхность вибрации приводит к изменению оптической длины пути измерительного рычага, в результате чего фазовая оптическая модуляция происходит относительно опорного пучка. Лазерный интерферометр преобразует разность оптических фаз между двумя лазерными лучами в изменении интенсивности света из-за интерференции пучков. Полученный в результате сигнал интенсивности может быть измерен с помощью фотодетектора. Таким образом, длина ссылки для измерения является производной от определенного лазерного перехода.
В дальнейшем, мы сосредоточимся на сканирование лазерной интерферометрии с синусоидальной электрической возбуждения и ее обнаружения в частотной области. Эта концепция оказалась очень успешной в исследовании ПАВ и ОАВ устройств, где образцы возбуждаются электрически и полученные волновые поля внутри образцов могут быть измерены с помощью интерферометра. Частоту возбуждения можно точно контролировать, операции в частотной области позволяют детально изучать механические резонансы и режимы вибрации, возникающие в структурах. Кроме того, за счет ограничения пропускной способности обнаружения, уровень шума измерения опускается и SNR повышается, что позволяет производить обнаружения небольших амплитуд колебаний, даже ниже 1 мкм.

Рис. 4. Схематическое представление интерферометра Майкельсона.
Схематическое представление интерферометра Майкельсона и обнаруженный сигнал (рис. 4 а). Линейно поляризованный лазерный луч коллимируется и разделяется на два плеча интерферометра с помощью поляризационного светоделителя (PBS). Опорный пучок проходит через четвертьволновую пластину ( / 4) к зеркалу и обратно. Пучок проходит измерение также через / 4-пластинки и ориентирован на поверхности образца, из которого он отражается назад. Два пучки рекомбинируют в PBS и проходят через поляризатор с фотодетектора (PD) (рис. 4 б). Иллюстрация интерферометра сигнала как функции опорного зеркала смещения ( x). Черные точки отмечают квадратурные точки (КПФ), предлагая максимальную чувствительность и линейность.
В этих рабочих точках мельчайшие поверхности вибрации амплитуды A в величине изменения детектируемого света интенсивности I.
4.2. Гомодинное детектирование
В гомодинных интерферометрических установках, используемых в физических исследованиях акустики, обычно основаны на интерферометре Майкельсона или интерферометр Маха-Цендера [1]. Пример типа гомодинного интерферометра Майкельсона изображен на (рис. 4 а) и схематическое представление сигнала интерферометра за счет изменения длины оптического пути представлен на (рис. 4 б). Здесь сигнал считается лишенным шумов.
Рассмотрим одномерный случай, когда две когерентные монохроматические волны равных оптических частот находятся в состоянии поляризации. Учредительные волны имеют интенсивности I1 и I2 и оптические фазы 1 и 2, соответственно. Обозначая разность фаз = 2 - 1, основное уравнение для двухлучевой интерференции является

Последний член уравнения - интерференционный, может быть положительным или отрицательным, что соответствует конструктивноq или деструктивной интерференции двух волн. В частном случае интерференции двух волн с одинаковой интенсивностью (I1 = I2 = I0), в результате интенсивность I () колеблется между 0 и 4I0.Оптическая разность фаз несет информацию о различной оптической длине пути интерферометра, а следовательно, в конечном счете, и поверхности вибрации должны быть исследованы. Таким образом, интерференции волн служит для преобразования небольшой разницы длины оптического пути между двумя пучками в изменении интенсивности, которые могут быть измерены с помощью фотодетектора.

Синусоидальная поверхность смещения Аsin (2fvibt + vib), где А - амплитуда и vib является фазой поверхностной вибрации исследуемого, приводит к зависимому от времени изменению оптической разности фаз, где fvib является частотой, при которой образец электрически возбужден
(с предположением о линейной механической характеристике), длина волны лазерного света и 0 является медленной фазой (по сравнению с fvib), который представляет разницу оптических фаз между двумя лучами из-за изменений условий окружающей среды.
Контроль оптической длины пути, также могут быть реализованы путем активной стабилизации интерферометр. Роль стабилизации для компенсации любых медленных заносов между оптической длиной путей двух плеч интерферометра, как правило, вызвана воздушными потоками теплового расширения. Стабилизация противодействует этому изменению, например, слегка смещая опорное зеркало. Стабилизированные установки позволяют обнаружить чувствительность фазы вибраций, например, с помощью возбуждения образца и измерения сигнала фотодетектора с векторного анализатора. Получение абсолютных данных амплитуды требуется для дополнительных измерений количественной оценки коэффициента усиления системы и компенсации смещения коэффициента усиления, вызванного различиями в оптической отражательной способности поверхности образца, смещения в результате помех и т.д.
4.3. Применение спекл-интерферометрии для регистрации акустического сигнала
В данном дипломном проекте рассматривается применение спекл-интерферометрии для регистрации слабых динамических смешений поверхности, подверженной воздействию акустического сигнала [2]. Представлена оптическая схема с использованием волоконно-оптических элементов для регистрации спекл-структур, модулированных акустическим сигналом. Приведена оценка диапазона применимости предлагаемой лазерной оптоэлектронной системы, регистрации акустического сигнала на основе спекл-интерфереметрии.
В настоящее время особое внимание уделяется лазерным системам регистрации малых динамических смещений, так как они не предусматривают прямого контакта с исследуемой поверхностью, подверженной динамическим смещениям. Одним из источников динамических смещений могут являться акустические (речевые) сигналы. Принцип работы лазерных систем заключается в том, что отраженное лазерное излучение от исследуемой поверхности модулируется источником акустического сигнала. Модулированное излучение фиксируется фотодетектором, что позволяет на выходе получить исходную акустическую информацию.
Однако в основном все эти системы работают на основе регистрации зеркально отраженного лазерного излучения. Использование таких лазерных систем на больших расстояниях является затруднительным.
Среди лазерных систем особенно следует выделить интерферометрические системы, обладающие более высокой чувствительностью.
Оптические, в том числе и лазерные, интерферометры требуют выполнения ряда условий, ограничивающих их применение: отражающая исследуемая поверхность должна быть оптически гладкой; требуется жесткая взаимная юстировка элементов оптической системы.
Следует также отметить, что интерферометрические методы требуют использования лазеров с большой длиной когерентности, что накладывает дополнительные ограничения при использовании данных систем в реальных условиях. Хорошо известно, что применение когерентного излучения в интерферометрии приводит к возникновению собственных шумов, которые называются спекл-структурами, приводящих к уменьшению чувствительности и точности измерений.
Лазерные методы регистрации акустической информации в основном построены на фиксации зеркальной составляющей отраженного оптического излучения от исследуемой поверхности возмущенной акустическим сигналом, что, как было сказано выше, ограничивает применимость данных методов. Как правило, вибрирующие объекты под воздействием акустического сигнала не всегда являются оптически гладкими, а в основном являются шероховатыми, поэтому возникает задача использование рассеянного излучения от этих объектов в качестве информационного сигнала, несущего информацию об их динамике.
При освещении лазерным когерентным источником света оптически шероховатой поверхности за счет рассеяния, в пространстве образуется сложная интерференционная картина, называемая спекл-структурой (с
английского speckle пятно, зерно).
Образование спекл-структуры можно объяснить следующим образом: каждая
точка шероховатой поверхности при отражении лазерного излучения может быть представлена источником вторичных сферических волн со случайным распределением фаз. Интерференция этих волн в пространстве и образует спекл-структуру. Различают два вида спекл-структур: объективные - образованные в пространстве за счет интерференции множества отраженных лучей от шероховатой поверхности, которые могут быть зарегистрированы непосредственно без оптической системы на фотоматериале и субъективные - образованные и зафиксированные на фотоматериале с помощью оптической системы в плоскости изображения исследуемой шероховатой поверхности.
Рис. 5. Фотография спекл-структуры
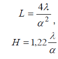
Размеры спеклов в объективных и субъективных (при расстоянии до исследуемой поверхности много большем фокусного расстояния оптической системы) спекл-структурах (продольные L и поперечные H) оцениваются по формулам:

где длина волны лазерного излучения, используемого для освещения исследуемой поверхности,
отношение диаметра освещенной области исследуемой поверхности к расстоянию от исследуемой поверхности до точки регистрации спекла (для объективных спекл-структур),
отношение диаметра входной апертуры к фокусному расстоянию оптической системы (для субъективных спекл-структур).
Динамические процессы, возникающие на поверхности исследуемого объекта, приводят к изменению спекл-структуры в пространстве и во времени, что связано с изменением фазы отраженных вторичных сферических волн. Следовательно, по анализу пространственно-временного поведения спекл-структур можно определить динамические процессы, происходящие с исследуемой поверхностью.
Из выражений следует, что размеры субъективных спекл-картин не зависят
от динамики исследуемой поверхности, так как константа, и, следовательно, связаны только с характеристиками оптической системы. Таким образом, субъективные спекл-структуры не позволяют регистрировать динамические процессы исследуемой поверхности за счет измерения размеров спекла. Однако регистрация субъективной спекл-структуры позволяет жестко привязать точки исследуемой шероховатой поверхности к самой спекл-структуре и также увеличить интенсивность регистрируемого спекла на фотодетекторе.
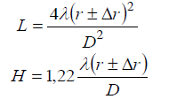
При динамических перемещениях исследуемой поверхности изменения размеров спекла для объективных спекл-структур согласно выражениям будут определяться следующими соотношениями:

где r расстояние от исследуемой поверхности до точки регистрации спекла,
± r величина перемещения исследуемой поверхности,
D диаметр освещенной области исследуемой поверхности.
Из анализа выражений следует, что поперечный и продольный размеры спекла, при перемещениях исследуемой поверхности, будет меняться на очень малую величину, так как r/r0 при реальных условиях измерений. Следовательно, как и в случае с субъективными спеклами, определить динамику исследуемой поверхности за счет измерения размеров объективных спеклов также практически невозможно.
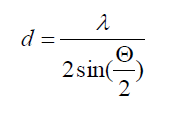
Для регистрации изменения фазы спекла необходимо использование опорного лазерного излучения, которое накладывается на спекл-структуру, в результате чего образуется вторичная интерференционная картина в виде полос.
Рис. 6. Фотография вторичной интерференционой картины
Ширина вторичных интерференционных полос d определяется выражением:

где угол схождения между опорным лазерным излучением и рассеянным лазерным излучением, образующим спекл структуру.
Для эффективной регистрации динамики спекл-структуры необходимо выполнить следующие условия: ширина полос вторичной интерференционной картины должна быть согласована с размерами спекл-структуры, а также с размерами чувствительного элемента фотодетектора.
Для согласования размера спекла с размерами чувствительного элемента фотодетектора необходимо, чтобы выполнялось следующее соотношение:
H h ,
где h максимальное значение из размеров чувствительного элемента фотодетектора. Выполнение данного условия достигается подбором параметра оптической системы.
Для того чтобы чувствительный элемент фотодетектора смог различать изменение фазы спекл-структуры необходимо, чтобы ширина вторичных интерференционных полос была больше максимального значения из размеров чувствительного элемента фотодетектора, т.е. выполнялось следующее соотношение:
d h
Таким образом, выполнение условий приводит к тому, что интенсивность
спекла, как целого, будет меняться от минимального до максимального значения в зависимости от колебаний исследуемой поверхности.
Реализация данного способа регистрации колебаний исследуемой поверхности под воздействием акустического сигнала показывается на оптической схеме:
Рис. 7. Оптическая схема регистрации акустического сигнала
Принцип работы данной оптической схемы заключается в следующем. Луч лазера Л направляется с помощью оптической системы Л1 на исследуемый шероховатый объект О, подверженный динамическим смещениям под воздействием акустического сигнала.
С помощью оптической системы Л2 шероховатая поверхность исследуемого объекта О, освещенная лазерным излучением, фокусируется на приборе с зарядовой связью (ПЗС-матрица). Как сказано выше, сфокусированное изображение поверхности будет покрыто субъективной спекл-структурой.
Как отмечалось выше, в плоскости ПЗС-матрицы фиксируется изображение объекта покрытое спеклами, что позволяет наблюдать объект в реальном
времени при использовании систем видеорегистрации.
Так как, стандартные ПЗС-матрицы не являются быстродействующими фотодетекторами, которые способны регистрировать динамику спеклов в акустическом диапазоне, то в анализируемой схеме предлагается использовать дополнительно быстродействующий фотодетектор ФД, позволяющий анализировать динамику спеклов в акустическом диапазоне. Для выделения единичного спекла, с помощью делителя Д2 изображение
спекла, направляется на входной торец оптоволокна ОВ2, выходной торец которого согласован с быстродействующим фотодетектором ФД. Диаметр сердцевины оптоволокна ОВ2 должен быть согласован с поперечными
размерами спекла.
Поперечные размеры спекла полностью соизмеримы с диаметром сердцевины одномодовых оптоволокон при использовании стандартных оптических систем.
Для создания опорной волны с помощью делителя Д1 часть излучения от лазера Л направляется в оптоволокно ОВ1, выходной торец которого также согласован с быстродействующим фотодетектором ФД. Выходные концы оптоволокон совмещены, а торцы располагаются в одной плоскости. Выходное излучение из оптоволокон ОВ1 и ОВ2 создает в пространстве спекл-структуру, покрытую интерференционными полосами.
Изменение интенсивности в спекл-структуре на входе фотодетектора преобразуется в изменение выходного напряжения фотодетектора, которое записывается следующим образом:

где u(t) выходное напряжение электрической схемы фотодетектора,
A постоянная составляющая напряжения смешения на выходе электрической схемы, которая связана с усредненным значением изменения интенсивности вторичной интерференционной картины,
B амплитуда полезного выходного
напряжения, которая определяется параметрами оптоэлектронной схемы,
(0) начальное значение разности фаз между опорным излучением и рассеянным лазерным излучением, образующим спекл-структуру,
(t) изменение фазы в спекл-стркутуре, связанное с изменением оптического пути при динамических смещениях исследуемой поверхности.
Из анализа формулы видно, что изменение выходного напряжения фотодетектора зависит от изменения фазы (t), характеризующей динамику спекла под воздействием акустического сигнала. Так как интенсивность спекла меняется от минимального до максимального или наоборот, то соответственно и выходное напряжение с фотодетектора меняется от минимального значения u(t)min до максимального значения u(t)max.
Из анализа выражения следует, что изменение выходного напряжения от минимального до максимального соответствует смещению исследуемой поверхности на величину равную /4.
Анализ выражения показывает, что при колебаниях исследуемой поверхности с амплитудами меньше или равно /8 выходное напряжение фотодетектора соответствует форме колебаний этой поверхности. При амплитудах колебаний исследуемой поверхности более /8 выходное напряжение фотодетектора не будет соответствовать форме колебаний этой поверхности, что потребует разработки дополнительного алгоритма рас-
шифровки выходного сигнала фотодетектора.
Для регистрации колебаний без дополнительной обработки выходного сигнала, как следует из выражения, необходимо выбрать (0) равным
где n=0,1,2,.…,
Данное условие означает, что в начальный момент измерений выходное напряжение с фотодетектора должно быть установлено таким образом, чтобы его значение соответствовало величине равной (u(t)max - u(t)min)/2, то есть u(0)=А. Это достигается соответствующим изменением фазы опорного пучка. При этих условиях амплитуда измеряемых колебаний исследуемой поверхности под воздействием акустического сигнала будет соответствовать величине равной /8.
5. Сканирование лазерным гетеродинным интерферометром
Гетеродинное сканирования лазерного интерферометра разработанно для исследования микроакустики и данной работе имеет вид оптической установки модифицированного интерферометра Маха-Цандера [1]. Линейно поляризованный и коллимированный пучок из гелий-неонового одномодового лазера (Spectra-Physics модель 117A) делится на два акустооптических модулятора (IntraAction модель AOM- 405A1) (ОСО), где опорный пучок приобретает оптический сдвиг частоты по отношению к лучу нулевого порядка. Луч нулевого порядка света зонда фокусируется в объектив микроскопа (Nikon 50x / 0,55 ELWD) на поверхности образца. Пластина вращается в плоскости поляризации пробного пучка, для правильности направления луча в поляризационном светоделителе (PBS), где два, теперь ортогонально-поляризованных луча, взяты вместе. Лучи затем распространяться через линейный поляризатор на быстром (0 - 12 ГГц) фотодетекторе, который показывает плоскую частотную характеристику (лучше, чем ± 1 дБ до 6 ГГц) (Новая модель Фокус 1554-A) (PD). Образец растрового сканирования под сфокусированным лазерным лучом с компьютерным управлением электродвигателя (М-Ньюпорт MFN25cc) получает 25 мм диапазон движения вдоль каждой из трех осей, с наименьшим размером шага 55 нм.
Рассмотрим интерференцию двух лазерных лучей с интенсивностью I1 и I2,
происходящих из того же лазерного источника. Если один из пучков смещается в частоте от оригинальной оптической частоты f + fm (fm << f), то сигнал усредняется помехами по оптическому циклу, где (т) оптическая разность фаз между лучами.

Когда один из лучей отражается от синусоидально вибрирующей поверхности образца, разность фаз может быть записана в виде

где A амплитуда нормальной компоненты поверхностной вибрации, является длиной волны лазерного света, и fvib и vib являются частотой и фазой колебаний, соответственно. Термин 0 является медленно меняющейся фазой (по сравнению с fvib) и показывает какие-либо произвольные изменения оптической фазы между двумя плечами интерферометра за счет, например, изменения в условиях окружающей среды. Когда амплитуда вибрации поверхности (A) мала по сравнению с , интерференционный член уравнения может быть расширен

Ошибка в расчетах амплитуд вследствие этого приближения составляет менее 1%, при A 10 нм и = 632,8 нм.
При наблюдении в частотной области, спектр сигнала состоит из амплитудной модуляции (FM) и двух вспомогательных вершин (при FM ± fvib). При измерении реальных образцов, только амплитудная модуляция и верхний (FM + fvib) вспомогательный пик (здесь и далее называемый пик сигнала) обнаруживаются. Модуляция и пики сигнала (на двух частотах) обнаруживаются одновременно, и абсолютная амплитуда вибрации поверхности может быть получена из их отношения амплитуд. Кроме того, путем сравнения фаз двух сигналов фаза поверхностной вибрации приобретает любые медленные изменения длины оптического пути. Способность измерить абсолютную амплитуду вибрации поверхности обеспечивает защиту от эффектов, таких как изменения локальной оптической отражательной поверхности образца. Кроме того, обнаружение гетеродина уменьшает потенциальные проблемы, вызванные радиочастотной (РЧ) утечкой, поскольку есть смещение частоты между определенной частотой (FM + fvib) и частотой, при которой образец приводится в движение.
5.1. Производительность установки
Основные технические характеристики сканирующего лазерного интерферометра - минимально регистрируемая амплитуда, устойчивость к изменениям в оптической отражательной способности поверхности образца, скорость сканирования и пространственное разрешение [1]. Наиболее важным из этих параметров является, пожалуй, минимально регистрируемая амплитуда, так как она, в конечном счете, устанавливает ограничение на малых сигналах. Кроме того, в обнаружение в частотной области, где используется частота развертки, минимально регистрируемая амплитуда и скорость качания частоты связаны между собой через пропускную способность (ПС) электроники обнаружения. Выбор большего обнаружения (ПС) позволяет быстрее находить частоты развертки между уровнем шума измерения и скорости развертки. Чувствительность установки позволяет пожертвовать скоростью сигнала, в то время как сохраняется приемлемый уровень минимальной обнаруживаемой амплитуды.
Достижение латерального разрешения, в конечном счете, ограничивается дифракцией порядка длины волны лазерного света. Для большинства приложений в ПАВ и исследования ОАВ достаточно продольного разрешения ~ 0,5 мкм. Достижение значительно пространственного разрешения с лазерных интерферометров является более сложной задачей.
5.2. Минимально обнаруживаемая амплитуда
Пропускная способность обнаружения 30 Гц, минимальная величина поверхностной вибрации ~ 1 мкм, как было измерено в образце [1]. Это соответствует чувствительности измерения ~ 2 10-4nm / Гц. Теоретический предел обнаружения для гетеродинного интерферометра показывается

где е заряд, BW полосы пропускания обнаружения, Po общая
оптическая мощность, чувствительность (A/ W) фотодетектора и
длина волны лазера. Разница между полученной и теоретической чувствительностью, в основном, из-за ограниченной оптической мощности, допустимой на входе фотодетектора, приводит к уменьшение доступного динамического диапазона. Скорость измерений системы зависит от выбранного BW. Пропускная способность обнаружения 30 Гц приводит скорость сканирования ~ 94 000 пространственных точек сканирования в час (ПНТ / ч), которая может быть увеличена путем выбора большего BW за счет увеличения уровня шума.
5.3. Латеральное разрешение
В сканировании лазерного интерферометра, лазерный луч фокусируют на поверхности образца [1]. Затем образец растрового сканирования под лазерным пятном с выбранным шагом латерального сканирования используют для получения изображения области поверхностной вибрации. Размер лазерного пятна на поверхности образца, следовательно, определяет побочное разрешение, получаемое с заданной установки.
Дифракция, в конечном счете, ограничивает минимально достижимый размер пятна на поверхности образца. Попытка получить пятно как можно меньше может оказаться невозможной, так как размер пятна на образце становится меньше, глубина фокуса лазерного луча, соответственно уменьшается. Это приводит к более жесткому допуску на расстоянии от фокусирующей линзы до поверхности образца. В такой установке, есть не активно регулируемые фокусировки, так что расстояние от цели к образцу будет активно контролироваться. Таким образом, желательно, чтобы интерферометр допускал перепады высот (изменения) в фокусе порядка ± 1 мкм. Это достигается с размером пятна гауссова лазерного пучка ~ 820 нм (FWHM измеряется как на поверхности образца), предлагая латеральное разрешение лучше, чем 1 мкм. Полученное латеральное разрешение достаточно для всех типичных устройств для микро акустических приложений (например, ПАВ и ОАВ), с рабочими частотами шифрования до нескольких ГГц.
5.4. Невосприимчивость к изменениям в оптической отражательной способности
В типичных микро акустических образцах (ПАВ и ОАВ), есть участки разной оптической отражательной способности на поверхности образца [1]. Например, в случае типичного устройства на ПАВ, есть кристаллическая подложка, например, LiNbO3, с очень низким коэффициентом отражения, и металлизированные участки на нем с очень высокой отражательной способностью. Изменения в оптическом отражении меняются относительно интенсивности интерферирующих лазерных лучей. В случае простого интерферометра Майкельсона, это вызывает изменение чувствительности, что приводит к разрывам в измеренной амплитуде на образце. В общем, любое изменение на поверхности образца (шероховатость поверхности, разной высоты приводит к изменению фокуса, и т.д.) или направления в оптической схеме, приводит к изменению качества помех, а также приведет к разрыву в обнаружении значения амплитуды.
В гетеродинном интерферометре качество интерференции контролируется с помощью модулирующего сигнала, а также возможность измерения абсолютной амплитуды вибрации поверхности обеспечивает защиту против эффектов из-за изменений оптической отражательной поверхности на образце. Примерная информация служит, чтобы показать обнаружение абсолютной амплитуды поля, несмотря на большую разницу в оптических коэффициентах отражения между кристаллической и металлизированной областях. Это подчеркивает правильность работы установки гетеродина. Очевидным ограничением является случай, в котором ОСШ измерения достаточно, чтобы обнаружить слабые вибрации на поверхности металла. Другими словами, разница в оптической отражательной поверхности и качестве помех можно увидеть в данных гетеродинного интерферометра, как изменения в измерении уровня шума в областях без амплитуды вибрации.
6. Энергетический расчет
Энергетический расчет чувствительности спекл-интерферометрических средств регистрации малых смещений (ультразвука) вследствие воздействия фотоакустического эхоимпульса.
Цель определить характеристики разрабатываемого виброметра. Оценить адекватность заданных требований.
Алгоритм.
- Оценить отраженную интенсивность.
- Вычислить мощность сигнала после преобразования в заряд.
- Оценить шумы в информационном тракте обрабатывающей электроники.
- Определить, выполняется ли неравенство Сигнал/Шум > = 13 дБ
Выводы:
Если выполняется то считаем сигнал детектируемым, основные параметры системы получены.
Если нет даем рекомендации по улучшению чувствительности.
Расчет проводится для двух экспозиционной спекл-интерферометрии. Предполагается освещение поверхности импульсами света до и после её смещения. Длительность импульса 1 мкс. Начальное значение интенсивности света предметного луча 0.35 * 103 Ватт/м2 (взято из стандартов по безопасности). После облучения поверхности предметным лучом одна его часть отразится, другая преломится. Нас интересует отраженная составляющая энергии, пропорциональная коэффициенту отражения R (для кожи на длине волны 633 нм приблизительно равен 0.44):

Полученное значение интенсивности рассеянного поверхностью света, строго говоря, распределено в телесном угле, приблизительно равном полусфере с нормальным распределением. Для более точного расчета необходимо было бы рассчитать телесный угол, соответствующий апертуре оптической системы и выяснить, сколько приходится на его долю всей рассеянной интенсивности в полусфере. Пока что скажем, что интенсивность света, заключённая в телесном угле оптической системы, составляет 30% от всей рассеянной интенсивности:

Значение интенсивности (плотности мощности) падающее на ПЗС матрицу получено. Далее необходимо выяснить, сколько мощности приходится на единичный фотодетектор:

размер фотодетектора ограничен требуемым пространственным разрешением или, в данном случае субъективным размером спекла. Ограничения, связанные с размерами единичного фотодетектора обсуждены в данной статье. Оттуда имеем:

Предполагаемая длина волны 633 нм, величина 1,22 / должна равняться 10 мкм, отсюда:

Отношение r/D следует записать или как требование к объективу в результатах вычисления, или найти соответствующие реальные значения r и D.
Размер единичного фотодетектора ПЗС матрицы 10 мкм2. Тоже можно вывести как требование в результатах.
Мощность падающего света на единичный фотодетектор:

Предположим, что основным фактором, ограничивающим чувствительность разрабатываемого устройства, является дробовой шум:

q заряд электрона, B ширина полосы принимаемых частот, эффективность преобразования(равен около 0.5 можно уточнить). Видно, что дробовой шум пропорционален средней мощности света на фотодетекторе. Из выражения для модуляции мощности падающего света смещением:

выведем среднюю мощность падающего света:

и подставив в формулу для шума, получим:

Вклад в мощность света, вызванный смещением поверхности описан третьим членом выражения для общей мощности:

Мощность сигнала тогда:

Оценить детектируемость сигнала можно, если решить неравенство:

константы и их значения для расчета:
P0 максимальное значение мощности света вычисляется как удвоенная сумма интенсивностей опорного и предметного лучей.
K Видимость интерферометрических полос. Изменяется от 0 до 1 берем равной 0.9.
k Волновой вектор.
Смещение поверхности. В нашем случае берем значение, равное 1 нм.
разность оптических путей плеч интерферометра. Должна составлять величину /4 для оптимального режима регистрации.
Выводы.
Из проведенного энергетического расчёта видно, что разрабатываемый детектор ультразвука способен регистрировать ультразвуковые колебания с минимально регистрируемым смещением порядка 1 нм и пространственным разрешением 10 нм. Стоит отметить, что в расчете не учитывалось влияние таких факторов, как тепловой шум, шум генерации рекомбинации и пр., то есть предполагалось, что источники прочих шумов, кроме дробового, устранены. Также стоит не забывать о других факторах, влияющих на точность измерений оптических систем: точная юстировка, нестабильность параметров лазерного излучения, низкочастотные колебания помещения, турбулентность воздуха и пр.
При дальнейшей работе в этом направлении стоит уточнить: количество оптической энергии, рассеянной поверхностью в апертуру оптического датчика, коэффициент фотоэлектрического преобразования и т.д.
7. Техника безопасности при работе оператора с оборудованием
Безопасность эксплуатации оборудования - это система технических мероприятий, обеспечивающих безопасные для жизни и здоровья условия эксплуатации оборудования.
Обслуживающий персонал должен уметь пользоваться защитными средствами и предохранительными приспособлениями; знать правила оказания первой медицинской помощи при поражении электрическим током; правила тушения пожара в помещении и уметь применять средства.
Специфика труда оператора заключается в малой двигательной активности, монотонности выполняемых операций, вынужденной рабочей позе. Эти факторы отрицательно сказываются на самочувствии работающего.
Целью данного раздела является обеспечение безопасности персонала при эксплуатации и обслуживании и выработка рекомендаций по организации рабочего места оператора.
Задачами данного раздела являются:
- обнаружение и изучение влияния на человека опасных и вредных производственных факторов, отрицательно влияющих на здоровье человека;
- ослабление действия этих факторов до безопасных пределов или исключение их вообще, если это возможно.
Условия труда на рабочих местах оператора ЭВМ в производственных помещениях узла связи складываются под воздействием большого числа факторов, различных по своей природе, формам проявления, характеру воздействия на оператора.
Эти факторы подразделяются на следующие группы:
- физические;
- химические;
- биологические;
- психофизиологические.
Первые три группы включают воздействия, оказываемые производственной техникой и рабочей средой. Психофизиологические факторы характеризуют изменения состояния человека под влиянием тяжести и напряженности труда. Включение их в систему факторов производственной опасности обусловлено тем, что чрезмерные трудовые нагрузки в итоге могут также привести к заболеваниям.
Физические опасные и вредные производственные факторы на рабочем месте:
- микроклимат рабочей зоны;
- освещенность рабочей зоны;
- повышенный уровень шума на рабочем месте;
- повышенное значение напряжения в электрической цепи;
- пониженная контрастность;
- повышенный уровень электромагнитных излучений и т.д.
Психофизиологические опасные и вредные факторы на рабочем месте:
- статические физические перегрузки;
- нервно-психические перегрузки (умственное напряжение и перенапряжение, эмоциональные перегрузки, утомление).
Пониженное энергопотребление непосредственным образом влияет на параметры экологичности. Уменьшение энергопотребления позволяет снизить затраты пользователей на электроэнергию, а также уменьшить нагрев оборудования, что положительным образом отражается на надежности.
Для защиты человека от травмирования должна быть обеспечена недоступность человека в опасные зоны. Для предотвращения случайного попадания человека в опасную зону применяются оградительные устройства. Компоненты, вышедшие из строя, должны быть утилизированы соответствующим образом.
Таким образом, минимальное воздействие на окружающую среду обеспечивается за счет соблюдения природоохранных норм, правил и требований.
ПЭВМ должны соответствовать требованиям настоящих санитарных правил и каждый их тип подлежит санитарно-эпидемиологической экспертизе с оценкой в испытательных лабораториях, аккредитованных в установленном порядке.
Электромагнитные поля, характеризующиеся напряженностями электрических и магнитных полей, наиболее вредны для организма человека. Основным источником этих проблем, связанных с охраной здоровья людей, использующих в своей работе автоматизированные информационные системы на основе персональных компьютеров, являются дисплеи (мониторы), особенно дисплеи с электронно-лучевыми трубками.
Они представляют собой источники наиболее вредных излучений, неблагоприятно влияющих на здоровье программиста.
ПЭВМ являются источниками таких излучений как:
- мягкого рентгеновского;
- ультрафиолетового 200-400 нм;
- видимого 400-700 нм;
- ближнего инфракрасного 700-1050 нм;
- электростатических полей.
Основными источниками поражения электрическим током являются силовые и осветительные линии электропередач, отдельные части электроустановок, неизолированные, с повреждением или влажной изоляцией и посторонние предметы, случайно оказавшиеся в соприкосновении с ними.
Для операторов, обслуживающих аппаратуру, опасность представляют незаземлённые корпуса оборудования, электроприборов, измерительных приборов, различные электроинструменты, переносные электроосветительные установки. Для питания оборудования используется переменный ток с напряжением 205…230 В с частотой 50 Гц .
Действие электрического тока на живую ткань носит разносторонний и своеобразный характер. Проходя через организм человека, электрический ток способен производить термическое, электролитическое, механическое и биологическое действие. При достаточно сильном воздействии этого фактора может произойти летальный исход. Исход поражения человека электрическим током зависит от: силы тока, времени его прохождения через организм, характеристик тока (переменный или постоянный), пути тока в теле человека, при переменном токе также от частоты.
Допустимым является ток, при котором человек может самостоятельно освободиться от электрической цепи. Его величина зависит от скорости прохождения тока через тело человека. В ГОСТ установлены предельно-допустимые значения напряжения прикосновения и тока, протекающего через тело человека:
- U=400 В при длительности воздействия до 0,2 с;
- U=200 В при длительности воздействия до 0,5 с;
- U=20 В, I=6 мА при длительности воздействия от 1 до 10 с;
- I=2 мА при длительности более 10 с.
Основными мерами защиты от поражения электрическим током являются следующие:
- обеспечение недоступности токоведущих частей, находящихся под напряжением, для случайного прикосновения;
- электрическое разделение сети;
- устранение опасности поражения при появлении напряжения на корпусах, кожухах и других частях электрооборудования, что достигается применением малых напряжений, использованием двойной изоляции, выравниванием потенциала, защитным заземлением, занулением, защитным отключением и другими мерами;
- применение специальных электрозащитных средств переносных приборов и приспособлений (средств индивидуальной защиты);
- организация безопасной эксплуатации электроустановок.
В основном, шум воздействует на органы слуха. Под воздействием шума снижается концентрация внимания, нарушаются физиологические функции, появляется усталость в связи с повышенными энергетическими затратами и нервно-психическим напряжением, ухудшается связность речи. Всё это снижает работоспособность человека и его производительность, качество и безопасность труда. Длительное воздействие интенсивного шума (выше 80 дБ) на слух человека приводит к его частичной или полной потере.
В производственных помещениях, в которых работа на ПЭВМ является вспомогательной, уровни шума на рабочих местах не должны превышать значений, установленных для данных видов работ санитарными нормами допустимых уровней шума на рабочих местах.При выполнении основной работы на ПЭВМ (диспетчерские, операторские, расчетные кабины и посты управления, залы вычислительной техники) уровень шума на рабочем месте не должен превышать 50 дБ. В помещениях операторов ПЭВМ уровень шума не должен превышать 65 дБ.
Освещенность производственных, служебных и общественных помещений регламентируется СНиП. Естественное освещение оценивается коэффициентом естественной освещённости (КЕО). Работа инженера-оператора относится к категории работ высокой зрительной точности III (наименьший размер объекта различения 0,3-0,5 мм). Для этой категории работ при искусственном общем освещении наименьшая освещенность Emin=300 Лк, коэффициент неравномерности освещения z=1,1, коэффициент пульсации освещенности не более 15%, коэффициент запаса k=1,5.
Обычно искусственное освещение выполняется посредством электрических источников света двух видов: ламп накаливания и люминесцентных ламп.
Люминесцентные лампы по сравнению с лампами накаливания имеют ряд существенных преимуществ:
- по спектральному составу света они близки к дневному, естественному свету;
- обладают более высоким КПД (в 1,5-2 раза выше, чем КПД ламп накаливания);
- обладают повышенной светоотдачей (в 3-4 раза выше, чем у ламп накаливания);
- более длительный срок службы.
Для решения вопросов о необходимости и целесообразности снижения шума необходимо знать уровни шума на рабочем месте оператора. Уровень шума, возникающий от нескольких некогерентных источников, работающих одновременно, подсчитывается на основании принципа энергетического суммирования излучений отдельных источников.
|
|
где, - уровень звукового давления i-го источника шума;
- количество источников шума.
Для защиты работников от опасности поражения электрическим током при переходе напряжения на металлические нетоковедущие части, нормально не находящиеся под напряжением, применяют защитное заземление.
Защитное заземление представляет собой систему металлических заземлителей, помещенных в землю и электрически соединенных специальными проводами с металлическими частями электрооборудования, нормально не находящимися под напряжением.
Защитное заземление эффективно защищает человека от опасности поражения электрическим током в сетях напряжения до 1000 В с изолированной нейтралью и в сетях напряжением выше 1000 В - с любым режимом нейтрали.
Заземление устроено в соответствии с требованиями Правила устройства электроустановок (ПУЭ).
В качестве искусственных заземлителей применим угловую сталь 60x60 мм, стальные трубы диаметром 35-60 мм и стальные шины сечением не менее 100 мм2. Стержни длиной 2,7 м забиваются в грунт вертикально в специально подготовленной траншее.
Расчет заземления сводится к определению числа заземлителей и длины соединительной полосы исходя из допустимого сопротивления заземления.
При выносной системе заземления заземлители располагаются на некотором удалении от заземляемого оборудования. Поэтому заземленное оборудование находится вне поля растекания тока и человек, касаясь его, окажется под полным напряжением относительно земли. Выносное заземление защищает только за счёт малого сопротивления грунта.
В данном разделе произведена идентификация и анализ основных опасных и вредных производственных факторов, возникающих при эксплуатации и обслуживании сети, таких как повышенный уровень электромагнитных излучений, повышенный уровень шума на рабочем месте, микроклимат рабочей зоны, повышенное значение напряжения в электрической цепи, замыкание которой может произойти через тело человека. Таким образом, при соблюдении всех выше перечисленных норм, правил и ГОСТов рабочее место в операторской при эксплуатации и обслуживании данной системы будет безопасно для сотрудников компании.
8. Заключение
Таким образом, в решения задачи лазерного детектирования ультразвука, применяемого в задачах фотоакустической визуализации медицинской диагностики, было выполнено:
• выбрана и обоснована схема
• выбраны и описаны принципы построения прибора
• произведен энергетический расчет чувствительности спекл-интерферометрических средств регистрации малых смещений (ультразвука) вследствие воздействия фотоакустического эхоимпульса.
Расчет показал возможности регистрации фотоакустических эхосигналов по изменению колебаний поверхности бесконтактным методом.
Применение лазерного детектирования ультразвука является перспективным для приборов неинвазивной диагностики в перспективной медицине.
9. Список литературы
1. Kokkonen K. Imaging of Surface Vibrations Using Heterodyne Interferometry - Aalto University publication series, 2014.
2. Осипов М.Н., Фалиев И.Н., Чекменев А.Н., Щеглов Ю.Д. Применение Спекл-Интерферометрии для Регистрации Акустического Сигнала Ползуновский вестник, 2012.
3. Франсон М. Оптика спеклов М: Мир, 1980.
4. Осипов М.Н. Поведение выходного сигнала в системе измерения на основе оптоэлектронного интерферометра Майкельсона Ползуновский вестник, 2011.
5. Рабинер Л., Гоулд Б. Теория и применение цифровой обработки сигналов - М.: Мир, 1978.
6. Сердюк В.С., Игнатович И.А., Кирьянова Е.Н., Стишенко Л.Г. Безопасность жизнедеятельности: Методические указания к самостоятельным работам - Омск: ОмГТУ, 2008.
7. Коронкевич В. П., Ханов В. А. Современные лазерные интерферометры Новосибирск: Наука, 1985.
8. Кондратьев А. И., Гусаков С. А. Интерференционный способ измерения малых ультразвуковых сигналов и интерференционное устройство для его осуществления, 1988.
9. Смолин Ю.А., Тихонов А.С., Шлыков Е.С. Новые разработки в УЗтехнике и их применение - Л., ЛДНТП,1982.
10. Кондратьев А.И., Криницын Ю.М., Гусаков С.А. Лазерные интерферометры для измерения ультразвуковых колебаний - Хабаровск, 2000.
Оптическое детектирование ультразвука
