Исследование горных пород
В настоящее время при инженерных изысканиях широкое применение получили методы статического и динамического зондирования. Это очень простые методы исследований преимущественно песчаных и глинистых пород, дающие широкую информацию об их плотности, прочности, деформационных свойствах и однородности. Кроме того, с помощью этих методов можно устанавливать изменение геологического разреза по глубине, выявлять глубину залегания и мощность слабых слоев и зон плотных, прочных и коренных пород, а также изменение степени уплотнения, и упрочнения искусственно отсыпанных или намытых пород во времени. Методы зондирования позволяют получать необходимые данные для проектирования и оценки условий строительства свайных фундаментов, шпунтовых ограждений и других видов строительных работ.
Опыты состоят в задавливании или забивании в горные породы зонда с коническим наконечником (редко грунтоноса-пробоотборника). При статическом зондировании зонд задавливается в породы, при динамическом тАФ забивается. По тем сопротивлениям, которые оказывают горные породы проникновению в них зонда, судят об их плотности, прочности и других свойствах. Естественно, что такие исследования горных пород не являются достаточно точными, они дают предварительные, главным образом приближенные представления об их свойствах. При сочетании методов зондирования с другими видами геологических работ, результативность их, т.е. точность и достоверность, значительно повышаются.
Статическое и динамическое зондирование тАФ это полевые экспресс - методы, для интерпретации результатов которых на предварительных стадиях изысканий их надо обязательно сочетать с разведочными работами тАФ геофизическими и горно-буровыми, а на детальных тАФ использовать в качестве дополнительных с целью повышения детальности изысканий в целом и решения специальных вопросов (например, при проектировании свайных фундаментов и др.).
ГОСТ 20069тАФ74 и 19912тАФ74 и ВлУказания по зондированию горных пород для строительстваВ» (СН 448-72) рекомендуют при инженерных изысканиях для конкретных зданий и сооружений зондирование производить в пределах их контуров или не более чем в 5 м от них. Для получения сопоставимых данных часть точек зондирования рекомендуется располагать на расстояниях не более 5 м от разведочных выработок, из которых производят отбор монолитов горных пород для лабораторных исследований и выполняют другие полевые исследования. Практика показывает, что данные зондирования необходимо рассматривать совместно с данными, получаемыми при бурении скважин и проходке горных выработок. Этого требуют ГОСТ 20069тАФ74 и 19912тАФ74. Глубину зондирования определяют исходя из необходимости исследования определенной толщи горных пород как оснований зданий и сооружений. Предельная глубина зондирования не должна превышать 20-и. Область применения статического и динамического зондирования в зависимости от вида и физического состояния горных пород регламентируется данными, приведенными в табл.1.
Таблица 1.
Область применения статического и динамического зондирования по СН 448-72
| Вид и физическое состояние горных пород | Способ зондирования | |
| статический | динамический | |
Песчаные: крупно-, средне-, мелко- и тонкозернистые влажные и и маловлажные; крупно-, средне-, мелкозернистые водоносные; | Допускаются | |
| тонкозернистые пылеватые водоносные | Допускается | Не допускается* |
Глинистые (супеси, суглинки и глины): твердой, полутвердой и тугопластичной консистенции; | Допускаются | |
| мягкопластичной, текучепластичной и текучей консистенции | Допускается | Не допускается* |
| Песчаные и глинистые с содержанием крупнообломочного материала | Не допускаются | |
| при более 25% | при более 40% | |
| Песчаные водоносные | При определении динамической устойчивости | |
| Не допускается* | Допускается | |
| Все виды горных пород в мерзлом состоянии | Не допускаются | |
| Скальные и полускальные | ||
| Крупнообломочные |
Допускается по специально разработанной методике при проведении экспериментальных работ.
При статическом зондировании основными показателями свойств горных пород являются:
а) общее сопротивление зондированию Rобщ, кгс;
б) сопротивление погружению конуса Rкон кгс/см2;
в) удельное сопротивление погружению конуса Rуд. кон, кгс/см2;
г) сопротивление трению по боковой поверхности зонда Rтр, кгс/см2.
Общее сопротивление горных пород тАФ это то сопротивление, которое они оказывают проникновению зонда. Оно равно тому усилию (кгс), которое передается зонду гидравлическим домкратом или весом груза.
При использовании современных гидравлических установок оно равно
Rобщ = pFц,
где p тАФ показание манометра, отражающее давление в цилиндре гидравлического домкрата, кгс/см2; Fц тАФ площадь поршня гидравлического домкрата, см2.Часть усилий, расходуемых на вдавливание зонда, расходуется на преодоление сил трения между зондом и породой. Если исключить эти сопротивления, получим сопротивление горных пород, оказываемое непосредственно проникновению конуса, т. е. сопротивление погружению конуса Rкон.
Rкон = Rобщ тАУ Rтр.
Современные установки для статического зондирования позволяют производить измерение общего сопротивления зондированию по показаниям манометра, а сопротивления проникновению конуса тАФ по показаниям динамометра и индикаторов часового типа.
Удельное сопротивление статическому зондированию конусом равно
Rуд = Rкон / Fк ,
где Fк - площадь поперечного сечения конуса, см2.
Удельное сопротивление тАФ это сопротивление горных пород проникновению конуса, приходящееся на единицу его поперечного сечения. Международными конгрессами по механике грунтов и фундаментостроению (IV в 1957 г. в Лондоне и V в 1961 г. в Париже) было рекомендовано использовать для статического зондирования конус диаметром 36 мм, площадью 10 см2, с углом при вершине 60В°.
Сопротивление горных пород трению по боковой поверхности зонда равно
Rтр = Rобщ тАУ Rкон
Современные конструкции установок для статического зондирования позволяют измерять либо общее сопротивление горных пород и сопротивление их погружению конуса, либо сопротивление проникновению конуса и величину трения по боковой поверхности зонда.
При динамическом зондировании горных пород основными показателями являются: а) показатель динамического зондирования N; б) глубина погружения зонда от определенного числа ударов стандартного молота S (это число ударов принято называть залогом); в) условное динамическое сопротивление горных пород Rд, кгс/см2 (по ГОСТ 19912-74 обозначается pд, т. е. не так, как оно обозначается международными индексами).
Показателем динамического зондирования принято называть число ударов молота, необходимое для погружения зонда на определенную глубину. В нашей стране эта глубина принята равной 10 см. Отсюда показатель динамического зондирования равен
N = 10n / S ,
где n тАФ число ударов в залоге; S тАФ глубина погружения зонда от принятого числа ударов молота в залоге.
Показатель динамического зондирования зависит не только от сопротивления, оказываемого горными породами проникновению зонда, но и от сил трения, развивающихся по боковой поверхности зонда при его погружении, и от увеличения его веса с глубиной. Поэтому при обработке результатов испытаний вводят соответствующие поправки на боковое трение пород и на увеличение веса зонда. Эти поправки приводятся в методических руководствах.
Основным показателем свойств горных пород при динамическом зондировании считается условное динамическое сопротивление горных пород Rд. Только этот показатель предлагается ГОСТ 19912тАФ74 и ВлУказаниями по зондированию горных пород для строительстваВ» (СН 448тАФ72). Его вычисляют по формуле
Rд = KП0Фn / S ,
где K тАФ коэффициент для учета потерь энергии при ударе, определяемый по специальной таблице; П0 тАФ коэффициент для учета влияния применяемого оборудования, определяемый по специальной таблице; Ф тАФ коэффициент для учета трения штанг о горные породы, определяемый по данным двух испытаний, в одном из которых зондирование производится в процессе бурения; n тАФ число ударов в залоге; S тАФ глубина погружения зонда от принятого числа ударов молота в залоге.
Для статического и динамического зондирования применяют разнообразные установки и станки. Наиболее часто используют установки конструкции ГПИ Фундаментпроект марки С-979, БашНИИ-промстроя марки С-832 и ВСЕГИНГЕО марки СПК. Известны установки конструкции и других организаций.
Пористость горных пород
Пористость горных пород, совокупность пустот (пор), заключённых в горных породах. Количественно П. г. п. выражается отношением объёма всех пор к общему объёму горных пород (в долях единицы или процентах). Поры в горных породах по величине принято делить на субкапиллярные (менее 0,2 мк), капиллярные (0,2тАФ100 мк), сверхкапиллярные (более 100 мк).
По форме поры могут быть различного типа тАФ пузырчатые, каналовидные, щелевидные, ветвистые и т.п. Форма и размер отдельных пор и их взаимная связь определяют геометрию порового пространства пород.
Различают П. г. п. общую (или абсолютную, физическую, полную) тАФ совокупность всех пор, заключённых в горных породах; открытую (насыщения) тАФ объём связанных (сообщающихся) между собой пор; закрытую тАФ совокупность замкнутых, взаимно не сообщающихся пор. В нефтяной геологии выделяют также эффективную П. г. п., т. е. совокупность пор, занятых нефтью, газом, и динамическую П. г. п. тАФ объём пор, через которые при определённых давлении и температуре происходит движение насыщающих жидкостей или газов; она всегда меньше общей П. г. п.
Наиболее высокая П. г. п. свойственна почвам и рыхлым осадкам тАФ пескам, глинам и др. (до 60тАФ80% и более). Осадочные и вулканогенные горные породы (песчаники, известняки, лавы, туфы и др.) характеризуются большим диапазоном значений пористости (от 50 до 10% и менее). Магматические и метаморфические породы обладают, как правило, малой пористостью (0,1тАФ3%). С возрастанием глубины залегания пород П. г. п. обычно уменьшается (особенно осадочных) и на больших глубинах может иметь очень малые значения.
В лабораторных условиях П. г. п. определяется методами свободного, вакуумного (под вакуумом) и принудительного (под давлением) насыщения горных пород жидкостью, а также методами, основанными на расширении газа, и др. В полевых условиях для оценки величины П. г. п. используются различные виды каротажа скважин. Результаты изучения П. г. п. используются для подсчёта запасов полезных ископаемых (например, нефти и газа), выборе технологии разработки полезных ископаемых и др.
Проницаемость пород и ее распределение
Характер движения нефти или газа к забою добывающей скважины определяется двумя основными факторами:
физико-химическими свойствами этих углеводородов;
структурой порового пространства среды тАУ коллектора, в которой они распространяются.
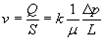
Для описания течения углеводородов с учетом этих факторов, наряду с другими характеристиками, вводится понятие проницаемости горной породы,
характеризующей ее способность пропускать жидкости и газы. Для оценки проницаемости пород обычно пользуются законом фильтрации Дарси, согласно которому скорость фильтрации (просачивания) жидкости в среде пропорциональна градиенту давления и обратно пропорциональна ее динамической вязкости
:
.
Перепишем эту формулу в скалярной форме для одномерной задачи. Для этого выделим образец породы длиной
, и предположим, что ее фильтрационные свойства одинаковы по всей длине. Тогда имеем
, (1.1)
где
- скорость линейной (плоскопараллельной) фильтрации,
- объемный расход жидкости в единицу времени,
- площадь фильтрации,
- перепад давления на выделенном участке пористой среды. Коэффициент пропорциональности в (1.1) называется коэффициентом проницаемости:
.
(1.2)
Величина
имеет размерность площади, и в системе СИ измеряется в
:
.![]()
Совокупность результатов, приведенных в [1] для проницаемостей пород, приводятся в табл. 1. Здесь еще раз отметим, что данные, приведенные в этой таблице, выбраны в качестве объекта для анализа из-за важности рассматриваемой характеристики. В силу специфики представления материала, в [1] отсутствует ссылка на первоисточники этой таблицы. Не понятно также, являются ли эти результаты обобщением различных данных, полученных разными авторами, или же они относятся к конкретному месторождению. В последнем случае, общие рассуждения, которые приводятся ниже, могли бы представлять некоторый практический интерес. Перейдем теперь к описанию характеристик, приведенных в табл. 1:
i тАУ номера интервалов, на которые разбивается весь наблюдаемый диапазон значений проницаемостей. Число таких интервалов в табл. 1 равно 10.
Ni тАУ число пород, проницаемости которых лежат в i - том интервале. Общее число исследованных пород составляет
.
pi тАУ относительное число пород, проницаемости которых попадают в i- тый интервал:
, величина
равна относительной доле образцов с выделенной проницаемостью. На языке математической статистики
есть вероятность того, что проницаемость одной случайно выбранной породы из тысячи, попадет в интервал проницаемостей шириной
.
Таблица 1
| i | Интервал проницаемостей
| Ni | pi |
| 1 | 0 тАУ 0,2 | 4 | 0,004 |
| 2 | 0,2 тАУ 0,4 | 126 | 0,126 |
| 3 | 0,4 тАУ 0,6 | 230 | 0,230 |
| 4 | 0,6 тАУ 0,8 | 260 | 0,260 |
| 5 | 0,8 тАУ 1,0 | 130 | 0,130 |
| 6 | 1,0 тАУ 1,2 | 120 | 0,120 |
| 7 | 1,2 тАУ 1,4 | 50 | 0,050 |
| 8 | 1,4 тАУ 1,6 | 30 | 0,030 |
| 9 | 1,6 тАУ 1,8 | 30 | 0,030 |
| 10 | 1,8 - 2,0 | 20 | 0,020 |
Породы-коллекторы
Коллекторы нефти и газа - горные породы, которые обладают емкостью, достаточной для того, чтобы вмещать УВ разного фазового состояния (нефть, газ, газоконденсат), и проницаемостью, позволяющей отдавать их в процессе разработки. Среди коллекторов нефти и газа преобладают осадочные породы. В природных условиях залежи нефти и газа чаще всего приурочены к терригенным и карбонатным отложениям, в других осадочных толщах они встречаются значительно реже. Магматические и метаморфические породы не являются типичными коллекторами. Нахождение в этих породах нефти и газа - это следствие миграции углеводородов в выветрелую часть породы, где в результате химических процессов выветривания, а также под воздействием тектонических процессов могли образоваться вторичные поры и трещины.
Нефтяные и газовые месторождения на земном шаре встречаются в разных районах, в границах различных геоструктурных элементов. Они известны как в геосинклинальных, так и в платформенных областях и предгорных прогибах.
Скопления нефти и газа установлены в отложениях всех возрастов, начиная от кембрия и кончая верхним плиоценом. Кроме того, известны скопления нефти и газа как в более древних докембрийских, так и в более молодых четвертичных отложениях. Наибольшее количество залежей в разрезе осадочного чехла на территории бывшего СССР приходится на отложения каменноугольного (29 %), девонского (19 %) и неогенового (18 %) возраста.
По разным оценкам запасы нефти распределяются в коллекторах следующим образом: в песках и песчаниках - от 60 до 80 %; в известняках и доломитах - от 20 до 40 %; в трещиноватых глинистых сланцах, выветрелых метаморфических и изверженных породах - около 1 %. В странах Ближнего и Среднего Востока разрабатываются главным образом карбонатные коллекторы мезозойского возраста. На территории бывшего Советского Союза более 70 % нефтяных и газовых залежей приурочены к терригенным породам-коллекторам.
Основные признаки пород-коллекторов
К основным признакам, характеризующим качество коллектора, относятся пористость, проницаемость, плотность, насыщение пор флюидами (водо-, нефте- и газонасыщенность), смачиваемость, пьезопроводность, упругие силы пласта. Совокупность этих признаков, выраженных количественно, определяет коллекторские свойства породы.
Пористость - совокупность всех пор независимо от их формы, размера, связи друг с другом. Понятие пористости соответствует полной пористости породы и численно выражается через коэффициент пористости:
Кп = Vпор/Vпороды ∙ 100 %.
Открытая пористость - совокупность сообщающихся между собой пор, численно соответствующая отношению объема сообщающихся пор к объему породы.
Эффективная пористость - совокупность пор, через которые может осуществляться миграция данного флюида. Она зависит от количественного соотношения между флюидами, физических свойств данного флюида, самой породы. По А. А. Ханину (1969), эффективная пористость - объем поровой системы, способной вместить нефть и газ с учетом остаточной водонасыщенности.
Наиболее высокие значения характерны для полной пористости, затем открытой и минимальные для эффективной пористости.
Полная пористость может быть открытой в песках и слабо уплотненных песчаниках. С увеличением глубины залегания открытая пористость снижается интенсивнее, чем полная. Величина полной пористости колеблется от долей процента до десятков процентов.
По генезису поры могут быть первичными и вторичными. Первичные поры между обломочными зернами называются межзерновыми, внутри органических остатков - внутриформенными. Вторичные поры - трещины и каверны.
Размеры порового пространства - от долей микрометров до десятков метров. В обломочных породах - песчаных и алевритовых - размер пор обычно меньше 1 мм. По размеру выделяются поры сверхкапиллярные > 0,1 мм; капиллярные 0,0002-0,1 мм; субкапиллярные < 0,0002 мм; ультракапиллярные < 0,1 мкм.
Размеры и конфигурация внутриформенной пористости определяется морфологическими особенностями фоссилизированных органических остатков.
Каверны - поры, образованные в результате растворения составных частей хемогенных или биогенных пород или разложения соединений, неустойчивых в определенных термобарических обстановках. Каверны по размеру бывают от долей миллиметров до нескольких километров и разделяются на мелкие - 0,1-10 мм; крупные (микрополости) - 10-100 мм и пещеристые полости - > 100 мм.
Склонность породы к растрескиванию характеризуется ее пластичностью. Пластичность - способность твердого тела под действием механических напряжений изменять свою форму без нарушения связей между составляющими частями. Коэффициент пластичности (Кпл) - отношение всей работы, затраченной на разрушение образца, к работе, затраченной на пластическую деформацию. Коэффициент пластичности меняется от 1 до бесконечности (∞). По степени пластичности выделяются три группы пород (табл. 1).
Таблица 1. Группы пород по степени пластичности
| Группа | Кпл | Пример |
| Хрупкие | 1 | Кремни |
| Пластично-хрупкие | 1 - 6 | Большинство осадочных пород |
| Высокопластичные | > 6 | Глины, аргиллиты |
Трещины в породах бывают открытые и закрытые (за счет вторичного смыкания и минерализации). Вследствие тектонических процессов образуются системы трещин, ориентированных в определенной плоскости. Если вдоль трещин не происходит смещение пород или оно незначительно, то система трещин называется трещиноватостью. В одном пласте может быть несколько систем трещин, обычно разновозрастных.
Практический интерес представляют только открытые трещины, по которым может осуществляться миграция УВ. Обычно трещинная пористость составляет 2-3 %, иногда до 6 %.
При характеристике трещин различают густоту, плотность и раскрытость трещин. Густота трещин - количество трещин на 1 м длины в направлении, перпендикулярном простиранию трещин. Плотность трещин - густота трещин на 1 м2 площади. Если в пласте одна система трещин, то величина плотности соответствует густоте. Раскрытость трещин - расстояние между стенками трещин.
Трещинные поры разделяются по степени раскрытости. По К. И. Багринцевой (1977), трещины подразделяются на очень узкие (0,001-0,01 мм), узкие (0,01-0,05 мм), широкие (0,05-0,1 мм), очень широкие (0,1-0,5 мм) и макротрещины (> 0,5 мм). Е. М. Смехов (1974) предлагал различать микротрещины (< 0,1 мм) и макротрещины (> 0,1 мм).
Особую значимость приобретает характеристика трещин в коллекторах сложного типа, которым свойственно наличие нескольких видов пористости. В табл. 2 приводится генетическая классификация трещин ВНИГРИ (Методические рекомендации.., 1989).
Проницаемость - способность горных пород пропускать сквозь себя жидкость или газ. Пути миграции флюидов - поры, каверны, соединяющиеся каналами, трещины. Чем крупнее пустоты, тем выше проницаемость. Для оценки проницаемости обычно используется линейный закон фильтрации Дарси, согласно которому скорость фильтрации жидкости в пористой среде пропорциональна градиенту давления и обратно пропорциональна динамической вязкости жидкости. Закон Дарси применим при условии фильтрации однородной жидкости, при отсутствии адсорбции и других взаимодействий между флюидом и горной породой. Величина проницаемости выражается через коэффициент проницаемости (Кпр):
Кпр = Q m L / D p F ,
где Q - объем расхода жидкости в единицу времени; D р - перепад давления; L - длина пористой среды; F - площадь поперечного сечения элемента пласта; m - вязкость жидкости. Выразив величины, входящие в приведенное выше уравнение, в системе единиц СИ, получим: Q = м3/ с; D р = Н/ м2; L = м; F = м2; m = Н×с/ м2; Кпр = м2. Единица проницаемости в системе СИ соответствует расходу жидкости 1м3/с при фильтрации ее через пористый образец горной породы длиной 1м, площадью поперечного сечения 1 м2 при вязкости жидкости н×с/м2 при перепаде давления 1н/м2.
Практической единицей измерения проницаемости является дарси. 1 дарси - проницаемость пористой системы, через которую фильтруется жидкость с вязкостью 1 сантипуаз (сП), полностью насыщающая пустоты среды, со скоростью 1 см3/с при градиенте давления 1 атм (760 мм) и площади пористой среды 1 см2. 1 дарси = 0,981 × 10-12 м2.
Различают несколько видов проницаемости.
Абсолютная проницаемость - это проницаемость горной породы применительно к однородному флюиду, не вступающему с ней во взаимодействие, при условии полного заполнения флюидом пор среды. Абсолютная проницаемость измеряется в сухой породе при пропускании через последнюю сухого инертного газа (азота, гелия).
В природе не встречаются породы, не заполненные флюидами (различными газами, жидкими углеводородами, водой и т.д.). Обычно поровое пространство содержит в различных количествах воду, газ и нефть (в залежах). Каждый из флюидов оказывает воздействие на фильтрацию других. Поэтому редко можно говорить об абсолютной проницаемости в природных условиях.
Эффективная (фазовая) проницаемость - проницаемость горной породы для данного жидкого (или газообразного) флюида при наличии в поровом пространстве газов (или жидкостей). Этот вид проницаемости зависит не только от морфологии пустотного пространства и его размеров, но и от количественных соотношений между флюидами.
Относительная проницаемость - отношение эффективной проницаемости к абсолютной. Относительная проницаемость породы для любого флюида возрастает с увеличением ее насыщенности этим флюидом.
Все породы в той или иной мере проницаемы. Все породы по своим свойствам являются анизотропными, следовательно, и проницаемость в пласте по разным направлениям будет различной. В обломочных породах Кпр по наслоению выше, чем в направлении, перпендикулярном наслоению. В трещиноватых породах по направлению трещин проницаемость может быть очень высокой, а вкрест простиранию трещин может практически отсутствовать.
Максимальны значения проницаемости для трещинных пород. Наиболее распространенное значение Кпр для промышленно продуктивных пластов от 1В·10-15 до 1В·10-12 м2. Проницаемость более 1В·10-12 м2 является очень высокой, характерна для песков, песчаников до глубин 1,5-2 км и трещинных карбонатных пород.
Плотность породы - отношение массы породы (г) к ее объему (см3). Плотность зависит от плотности твердой, жидкой и газообразной фаз, структурно-текстурных признаков породы, а также от пористости.
Различные литологические типы пород с глубиной уплотняются по-разному. Кd - коэффициент уплотнения породы, представляющий собой отношение плотности породы (dп) к плотности твердой фазы или минералогической плотности (dт). Коэффициент уплотнения - безразмерная величина, показывающая, во сколько раз плотность породы меньше плотности ее твердой фазы. По мере уплотнения dпВоdт, а КdВо1. Коэффициент уплотнения связан с величиной полной пористости соотношением Кs = 1-Кп. Глинистые породы достигают Кd = 0,80-0,85 к глубине 1,5-2 км, затем темп уплотнения понижается. Песчаные и алевритовые породы достигают Кd = 0,90-0,95 к глубинам 3,5-5 км. Быстро уплотняются хемогенные известняки, для которых уже на глубине 0,5-1 км Кd = 0,95-0,97.
Нефтегазоносная свита
oil-and-gas bearing set of rocks, oil-and-gas - Мощная толща переслаивающихся пород регионального или ареального распространения, содержащая нефтяные и (или) газовые пласты. Свита включает коллекторы, флюидоупоры и часто нефтегазоматеринские породы. Свита может соответствовать ярусу, отделу, системе или охватывать части этих стратиграфических подразделений.
Заключение
В настоящем пособии кратко рассматривается лишь ограниченный круг вопросов, связанный с породами-коллекторами нефти и газа - основные свойства, петрографические признаки, некоторые классификации. Большое количество последних свидетельствует о разностороннем подходе к изучению коллекторов (петрографическом, генетическом, емкостно-фильтрационном и др.) и сложности самого объекта исследований.
Следует признать, что до сих пор не разработана систематика пород-коллекторов, основанная на анализе зависимостей между структурно-текстурными и фильтрационно-емкостными параметрами, не всегда удается достаточно надежно увязывать характер пористого пространства с определенными геологическими процессами и стадиями литогенеза.
Изложенные принципы типизации терригенных и карбонатных коллекторов и простейшие приемы их петрографического определения - это первый шаг в освоении сложного вопроса изучения и прогноза природных резервуаров нефти и газа.
Список литературы
Багринцева К. И. Карбонатные породы-коллекторы нефти и газа. М.: Недра, 1977. 257 с.
Бурлин Ю. К. Природные резервуары нефти и газа. М.: Изд-во Моск. ун-та, 1976. 136 с.
Геологический словарь: В 2 т. / Под ред. К. Н. Паффенгольца и др. М.: Недра, 1978. Т. 1. 486 с.; Т. 2. 456 с.
Методические рекомендации по изучению и прогнозу коллекторов нефти и газа сложного типа / Под ред. М. Х. Булач, Л. Г. Белоновской. Л.: ВНИГРИ, 1989. 103 с.
Селли К. Введение в седиментологию М.: Недра, 1981. 370 с.
Смехов Е. М. Теоретические и методические основы поисков трещинных коллекторов нефти и газа. Л.: Недра, 1974. 200 с.
Справочник по геологии нефти и газа / Под ред. Н. А. Еременко. М.: Недра, 1984. 480 с.
Ханин А. А. Породы-коллекторы нефти и газа и их изучение. М.: Недра, 1969. 356 с.
Вместе с этим смотрят:
32-я Стрелковая дивизия (результаты поисковой работы группы "Память" МИВлГУ)